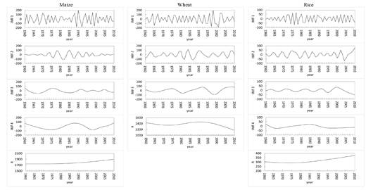
气候变化背景下的农作物生产潜力研究对充分利用土地和气候资源优化粮食生产具有重要意义。气候变化具有周期性波动和长期变化趋势两种特征,然而由此带来的农作物生产潜力周期性变化和长期趋势尚不清楚,影响不同农作物生产潜力的主要气候要素也有待深入挖掘。李飞副教授研究团队集成了全球农业生态区(GAEZ)模型和极点对称模态分解(ESMD)模型,探讨了1960-2010年间气候变化背景下中国三种主要农作物(小麦、水稻、玉米)的生产潜力变化趋势。研究发现,受气候变化影响三种作物生产潜力变化均具有准3年和准5年的周期。气候变化增加了玉米和大米的生产潜力,但降低了小麦的生产潜力。最低温度的升高是增加玉米和水稻生产潜力的主要原因,小麦生产潜力下降的主要原因是最高温度的升高。降水减少对三种农作物的生产潜力都产生了较大的负面影响。
该成果已在中科院SCI一区TOP期刊在线发表。



主要成果图
原文来源:https://doi.org/10.1016/j.agsy.2020.102853